肌肉减少症是肝硬化患者营养不良的一个重要特征,与死亡率相关,且被纳入肝移植等候名单患者的评估中。在肥胖肝硬化患者中,肌肉减少性肥胖与较差的预后有关,这些患者的肌肉不仅质量减少,还表现出肌内脂肪堆积(肌脂肪变性)。这种情况常见于肥胖和老年患者,但也可能发生在正常体重个体中,反映了慢性炎症状态。近日,意大利罗马Sapienza大学转化和精准医学院的研究团队在Journal of Hepatology上发表研究论文“Myosteatosis is closely associated with sarcopenia and significantly worse outcomes in patients with cirrhosis”。该研究发现肌脂肪变性在肝硬化患者中更常见,且对肝病的病程有显著影响。

前瞻性招募了2019年1月至2021年12月期间来自26个意大利中心的40-75岁并接受第三腰椎(L3)腹部CT扫描的443例肝硬化患者,并随访1年。在6个月和12个月进行门诊和生化检查,并根据需要增加检查频率。收集的患者特征包括年龄、性别、肝病病因、腹水和显性肝性脑病(OHE)的存在及分级、动物命名试验(ANT)结果、食管静脉曲张大小、消化道出血史、MELD、MELD-Na和Child Pugh评分。还记录了人体测量数据、握力试验(HGT)、肝虚弱指数(LFI)和起立行走试验(TUG)结果。通过竞争风险分析计算结果的累积发生率,并通过多变量分析评估肌肉变化的预后作用。通过CT扫描评估患者是否存在肌肉减少症和肌脂肪变性。腹肌面积在第三或第四腰椎进行评估,Hounsfield单位(HU)范围为-29至+150 HU,根据身体质量指数(BMI),将患者分为肌脂肪变性组:BMI<24.9 kg/m2的患者<41 HU,BMI≥25 kg/m2的患者<33 HU。根据身高对肌肉面积的比值标准化得到L3-L4骨骼质量指数(SMI),根据SMI临界值(男性<50 cm2/m2,女性<39 cm2/m2)确定肌肉减少症。内脏脂肪组织(VAT)和皮下脂肪组织(SAT)分别使用-150至-50 HU和-190至-30 HU的阈值在CT图像上检测。在有肌肉功能信息的患者中,分析探讨了HGT、TUG试验和LFI结果与CT扫描时肌肉面积和肌肉衰减之间的关系。
1. 纳入时的患者特征和骨骼肌损伤类型
共有433名患者纳入分析,平均随访时间为349±89天。肝病病因包括酒精性(39.9%)、丙型肝炎(15.5%)和代谢性(15.0%)。招募时,158名患者为代偿期,275名患者为失代偿期。36名患者(8.3%)有孤立性肌减少症,166名患者(38.3%)有孤立性肌脂肪变性,135名患者(31.2%)同时患有肌减少症和肌脂肪变性,96名患者(22.2%)没有肌肉损伤(见图1)。女性比男性更常见肌肉变化(88.8% vs. 73.4%,p<0.0001),特别是孤立性肌脂肪变性(52.0% vs. 32.8%,p<0.0001)。
有肌肉变化的患者病情更严重,Child Pugh评分更高(7.6±2.0 vs. 7.0±1.8,p=0.01),腹水患病率更高(53.4% vs. 36.5%,p=0.003)。肌脂肪变性最常见,见于301名患者(69.5%)。肌脂肪变性患者年龄较大(60.8±8.8岁 vs. 57.2±9.1岁,p=0.0001),MELD(13±5 vs. 12±4,p=0.006)、Child Pugh(7.6±2.1 vs. 7.0±1.8,p=0.006)和ANT(18.5±5.5 vs. 16.5±5.3,p=0.0037)评分更高。孤立性肌脂肪变性患者的内脏和皮下脂肪量也更多(170±100 cm/m2 vs. 131±79 cm/m2,p=0.0005)。收集了274名患者(63.3%)的握力测试(HGT)结果,228名患者(52.6%)的起床行走测试(TUG)结果,249名患者(57.5%)的肝虚弱指数(LFI)结果。肌脂肪变性患者无论是否伴有肌减少症,TUG(13.3±5.7 vs. 9.4±3.8,p<0.0001)和HGT(32.5±16.4 vs. 36.8±15.9,p=0.049)结果更差,更常被诊断为虚弱(33% vs. 13%,p=0.002)。
3. 肌肉变化对患者住院的影响
在1年的随访中,报告了207例肝脏相关的住院治疗。合并肌肉减少症和肌脂肪变性以及I-肌脂肪变性(孤立性肌脂肪变性患者)患者的住院发生率/100人年分别为55.7和55.2,均显著高于无肌肉变化患者(34.7)(p分别为0.0012和0.025)。在I-肌肉减少症患者中,相应的发生率为47.2,与没有肌肉变化的患者没有显著差异。在任何类型肌肉改变的患者中,以死亡和LT为竞争事件的新住院的1年累积发生率也显著高于无肌肉改变的患者(图3)。

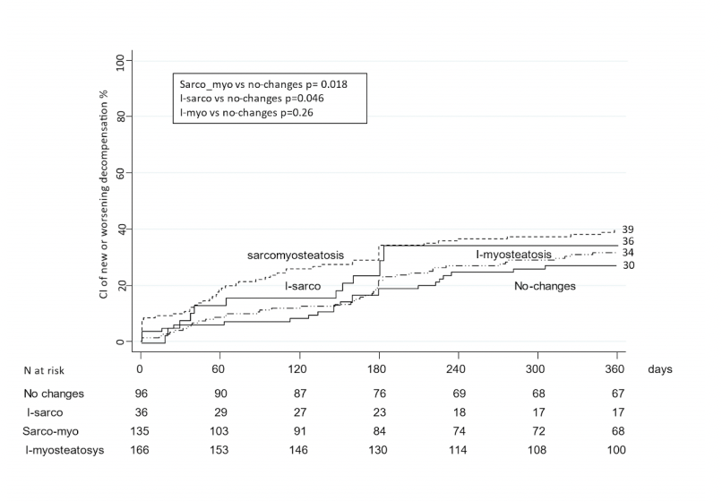
4. 肌肉变化对肝脏首次及以后失代偿的影响
研究纳入了158例代偿性肝硬化患者,其中43例无肌肉变化,12例出现I-肌减少症,66例出现I-肌脂肪变性,37例出现肌减少症和肌脂肪变性合并。在随访期间,43名无肌肉改变的患者中有5名首次出现失代偿,115名有任何类型肌肉改变的患者中有19名首次出现失代偿,相应的发生率分别为11.3和16.7/100人年(p=0.39)。在275例失代偿期肝硬化患者中,119例出现进一步失代偿:53例中有19例无肌肉变化,24例中有11例肌减少症,100例中有45例肌脂肪变性,98例中有44例肌减少症和肌脂肪变性合并。每100人年的相应发生率分别为37.6、46.4、50和48.9(每种类型变化与无变化之间差异的p值无显著性差异)。在总人群中,任何失代偿事件(首次或进一步,死亡和肝移植为竞争事件)的一年累积发生率在肌减少症和肌脂肪变性患者中为39%,在I-肌减少症患者中为36%,在I-肌脂肪变性患者中为34%,在无肌肉变化患者中为30%。与无变化的患者相比,合并肌减少症和肌脂肪变性的患者(p=0.018)和I-肌减少症的患者(p=0.046)差异显著(图4)。

5. 肌肉功能与肌减少和肌脂肪变性的关系
对238例患者进行了虚弱指数评估,平均得分为3.7±0.85分。其中65名患者被诊断为虚弱,117名被诊断为虚弱前期。合并肌减少症和肌脂肪变性患者的平均虚弱指数评分(3.96±0.84)和肌脂肪变性患者的评分(3.83±0.88)明显高于I-肌减少症患者(3.5±0.6)和无肌肉变化患者(3.49±0.82)。HGT值与骨骼肌指数相关(r=0.11,p<0.0001),但与肝脏超声中的肌肉脂肪含量无关;而TUG试验和肝功能指标与骨骼肌指数无关,但与肝脏超声中的肌肉脂肪含量呈负相关。
肌脂肪变性在肝硬化患者中更为常见,对肌肉变化的全面综合评估对于理解它们在肝硬化自然史中的作用至关重要。肌肉功能测试可以作为一种有价值和实用的床边工具,用于评估预后和识别死亡风险较高的患者。