1. HBV-ACLF患者长期生存率
1年、2年、3年、5年和8年的生存率分别为46.1%(95/206)、45.1%(92/204)、45.1%(92/204)、43.8%(89/203)和42.2%(84/199)。中位生存期为46.7±43.5个月。数据显示,较高级别的ACLF与死亡率增加相关(图2)。一旦存活超过90天,生存率下降缓慢。在8年内的死亡和肝移植病例中,92.2%(106/115)发生在前90天。研究者对存活超过90天的ACLF幸存者(n=101)进行了长期生存分析。平均随访时间为86.51±26.01个月(范围3.03~102),总观察期为728.17人每年。

2. HBV-ACLF患者长期实验室指标监测
研究者对ACLF幸存者进行了长期实验室指标监测,在前90天内丙氨酸转氨酶(ALT)从475.4±556.1U/L降至27.4±11.9U/L,AST从253.1±226.4U/L下降至37.6±15.8U/L,TB从289.2±95.3U/L降至36.4±22.4U/L,INR从2.0±0.5降至1.2±0.2,白细胞计数(WBC)从6.6±3.0×109降至5.0±1.7×109,AFP从238.8±329.2 ng/mL降至30.5±44.1ng/mL(图3)。此外,白蛋白在前两年内从30.0±6.7逐渐增加到48.0±3.8g/L。在随后的长期随访期间,临床特征保持相对稳定。
3. 病毒学和血清学应答情况
HBV-ACLF患者抗病毒治疗后,第一年HBV DNA水平显著下降。1年时,97.9%的HBeAg阴性和HBeAg阳性患者都达到了病毒学应答(HBV DNA水平<30IU/mL)。而在5年时,97.8%的HBeAg阴性和97.7%的HBeAg阳性患者实现了病毒学应答(图4)。此外,1年、5年和8年时观察到HBeAg血清转化的患者比例分别为25.5%、63.6%和76.9%。在8年随访中,有5名患者出现HBV再激活,其中2例在调整治疗后再次达到病毒学应答。肝超声、APRI、FIB-4和血清CHI3L1的变化显示,肝硬化组的这些指标始终高于非肝硬化组,在随访期间持续下降,但仍高于CHB患者。

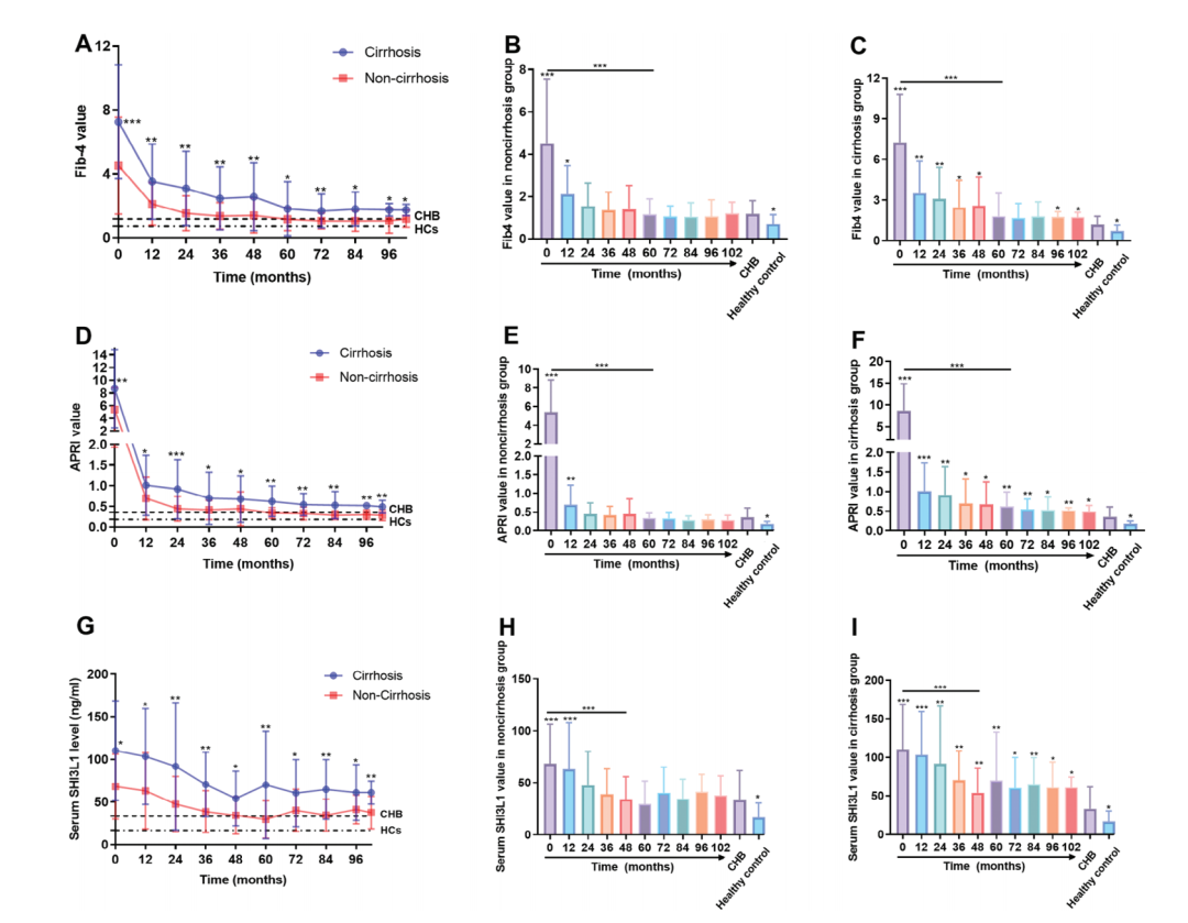
4. 纤维化指数变化
肝脏超声、APRI、FIB-4和血清CHI3L1被用来评估肝纤维化。首先,超声结果显示未有肝纤维化向肝硬化转变,反之亦然。其次,肝硬化组(n=41)和非肝硬化组(n=60)中,APRI(基线:8.7±6.1,5.4±3.4)和FIB-4(基线:7.3±3.6,4.5±3.3)值在前5年逐渐下降(APRI:0.7±0.4,0.3±0.1;FIB-4:1.8±1.7,1.2±0.7,p<0.001)。血清CHI3L1水平在前4年也逐渐下降(基线:110.3±58.4,68.3±38.1 ng/mL;4年后:54.0±32.0,34.2±21.7ng/mL,p<0.001),之后趋于稳定。在整个长期随访中,肝硬化患者始终表现出较高水平的APRI、FIB-4和血清CHI3L1(p<0.05,图5A、D、G)。第二年,非肝硬化组的APRI、FIB-4和血清CHI3L1水平下降至与CHB患者相似(图5B、E、H)。相反,在肝硬化组的大部分随访期间,APRI、FIB-4和血清CHI3L1水平高于CHB患者(图5C、F、I)。
5. 影响远期预后的危险因素
通过Cox比例风险回归模型对年龄、性别、肝硬化、HBeAg、ALT、AST、TB、INR、APF、MELD和COSSH各级进行了多变量生存分析,以确定ACLF幸存者(n=101)长期生存的危险因素。结果显示,高水平的TB是ACLF幸存者8年生存率的独立危险因素(HR=1.008(95%CI 1.001-1.015),p=0.021),TB水平预测8年生存率的临界值为354μmol/L。
这项前瞻性纵向队列研究证明了HBV-ACLF患者长期预后的重要时间节点,即疾病发生后的90天。实验室指标和HBV病毒学应答在一年内有望改善,而纤维化生物标志物和HBeAg血清转化的变化需要4-5年。此外,高水平的总胆红素可能是ACLF存活者8年生存的独立危险因素。因此,对HBV-ACLF患者进行早期和积极的治疗至关重要,并需要对出院后的患者提供定期的疾病管理。